Films
Videos
Live
Login
Home
Films
Videos
Live
Đăng nhập
Films
Movies
Movies 2025
Movies 2024
Movies 2023
Movies 2022
Movies 2021
Movies 2020
Movies before 2020
TV Dramas
United States of America
Korea
Japan
China
Hong Kong
India
Thailand
France
Taiwan
Australia
England
Canada
Russia
Best on Vidoe
Hoang Giang Share
Janusz
办美国文凭加拿大文凭澳洲文凭英国文凭学位证毕业证成绩单
Veinas bọt EPE máy móc
Wendy Ye
Download video
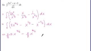
Indefinite Integrals Part 2
333 views
Math Doors
10 years ago
Indefinite Integrals Part 2
Indefinite Integrals Part 2
1:24
Indefinite Integrals Example #2 (2 Minutes)
by
BriTheMathGuy
3:16
Indefinite Integrals 2
by
Math Meeting
2:00
Indefinite Integrals (Antidifferentiation) (2 Minutes)
by
BriTheMathGuy
11:50
Indefinite Integrals 2
by
Calculus
8:35
Indefinite Integrals basic examples - Calculus
by
Math Meeting
14:53
Indefinite Integrals Part 2
by
Math Doors
11:24
Practise your French indefinite articles Part 2
by
Learn French With Alexa
11:16
Integrating Exponential Functions By Substitution - Antiderivatives - Calculus
by
The Organic Chemistry Tutor
22:40
What Integration Technique Should I Use? (trig sub, u sub, DI method, partial fractions) calculus 2
by
blackpenredpen
11:05
Definite Integral
by
The Organic Chemistry Tutor
2:03
Method 2 for Solving Indefinite Integrals: Essential Techniques
by
Cipher
8:27
indefinite pronouns
by
BNS Videos
4:17
Evaluate the Integral Using Two Distinct U-Substitutions
by
DrTMath\&MoreOnline
3:06
Integral problem integration 2 #calculus #maths
by
Ankit Career Academy
1:38
Divide 1232 by 2
by
Srikanth Math Academy
21:22
Indefinite Integrals Lecture 2\/Class 12#Math\/Must Watch
by
Math tutorial for 11 - 12 classes \&study material
5:29
Indefinite Article 'A' \& Its Two Different Correct Pronunciations #englishguruatoz+ #articles
by
Stoic Philosophy \& Literature
ViDoe Login
×
Upload videos, create your own free channel with ViDoe.Top after login
Login with Google
Login with Discord