Films
Videos
Live
Login
Home
Films
Videos
Live
Đăng nhập
Films
Movies
Movies 2025
Movies 2024
Movies 2023
Movies 2022
Movies 2021
Movies 2020
Movies before 2020
TV Dramas
United States of America
Korea
Japan
China
Hong Kong
India
Thailand
France
Taiwan
Australia
England
Canada
Russia
Best on Vidoe
Hoang Giang Share
Janusz
办美国文凭加拿大文凭澳洲文凭英国文凭学位证毕业证成绩单
Veinas bọt EPE máy móc
Wendy Ye
Download video
1.53 2x2 PR2 Average
No views
scooch tape
3 weeks ago
1.53 2x2 PR2 Average
1.53 2x2 PR2 Average
2:02
6270915e8d0a4637a0efe21e8b485ce2-part153
by
GZIPH prjywa
2:54
Rubik’s cube Average of 5 : 13.552
by
Lê Khang
0:58
22¹⁰⁰ - 2⁹⁹ = ? #shorts
by
EASY PEOPLE MATH
2:40
Weekly Average of 12: 19.03 (Week 3)
by
monkeydude1313
0:33
If 1.54×10^3 g of V2O5 reacts with 1.96×10^3 g of Ca, according to the following reaction, which …
by
Harold Edwards
2:10
Find the distance between two points p1 (-21,-54) and p2 (3,-4): Step-by-Step Video Solution
by
Tiger Algebra
4:38
3x3 puzzle\/8puzzle avg100: 1.552
by
s16269
3:49
Calculate 2 + (-2) + 2+(-2) + 2..(i) If the number of terms is 140 (ii)if the number of terms is 125
by
Axiom 1729
3:16
find the value of (2\/5)^3 and 2^3\/5. which is greater?
by
Math Magic
6:25
3^t–2^t=65 Nice exponents solution Algebra solution How to solve Maths Olympiad exponents
by
💕Calligraphy and Maths 💕
1:53
speed 3x3 avg 5: 10,82s
by
Nguyễn Ngọc Thịnh
0:35
53516 Range Road 162 Rural Yellowhead County, AB T7E 3H5
by
CENTURY21 Canada Listings
6:04
Use a Graphing Utility to Solve Each Equation to Two Decimal Places
by
DrTMath\&MoreOnline
10:16
How to Solve 3^t - 2^t = 65 || Find the value of t? #maths
by
Learn with Christian Ekpo
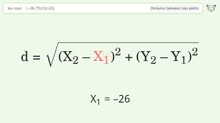
2:12
Find the distance between two points p1 (-26,75) and p2 (34,63): Step-by-Step Video Solution
by
Tiger Algebra
7:00
Algebra Help: System of equations: { ((x+y)(x+y+z)=72 and (z+y)(x+y+z)=120 and (x+z)(x+y+z)=96)
by
Calculus Physics Chem Accounting Tam Mai Thanh Cao
1:02
Long Addition Problem 263.76+153.68: Step-by-Step Video Solution | Tiger Algebra
by
Tiger Algebra
0:33
2 . (8 mark) (a) Calculate the pH of a solution prepared by mixing 200, 0 mL of0.100 M NaOH with 15…
by
Numerade Mathematics
ViDoe Login
×
Upload videos, create your own free channel with ViDoe.Top after login
Login with Google
Login with Discord